1. 前言
前面我们讲到了构造单元测试数据的几种方式,接下来我们将讲述如何编写单元测试。
《手册》 第 29 页有对数据库单元测试的规定 1:
【推荐】和数据库相关的单元测试,可以设定自动回滚机制,不给数据库造成脏数据。或者
对单元测试产生的数据有明确的前后缀标识。
那么单元测试还有哪些注意事项,除了数据库相关的单元测试外,其它的单元测试又该如何去写呢?
2. 对哪些代码写单测?
实际开发中,主要对数据访问层、 服务层和工具类进行单元测试。
正如前言中所说,数据库相关的单元测试,一般要设置自动回滚。除此之外,还可以整合 H2 等内存数据库来对数据访问层代码进行测试。
工具类的单元测试也非常重要,因为工具类一般在服务内共用,如果有 BUG,影响面很大,很容易造成线上问题或故障。一般需要构造正常和边界值两种类型的用例,对工具类进行全面的测试,才可放心使用。此时结合注释小节所讲的内容,需将典型的调用和结果添加到注释上,方便函数的使用者。
服务层的单元测试,一般要依赖 mock 工具,将服务的所有依赖都 mock 掉。其本质是 “控制变量法”,将原本依赖的 N 个 “变量 " 都变为 “常量”,只观察所要测试的服务逻辑是否正确。
3. 单元测试的结构
大家一定要牢记编写单元测试的核心逻辑,其结构如下:

典型的单元测试可分为三个阶段,分别为准备、执行和验证 2。
准备阶段(Given) 主要负责创建测试数据、构造 mock 方法的返回值,准备环节的编码是单元测试最复杂的部分。需要注意的是 Mockito 库中以 when 开头的函数其实是在准备阶段。
执行阶段(When) 一般只是调用测试的函数,此部分代码通常较短。
验证阶段(Then) 通常验证测试函数的执行的结果、 准备阶段 mock 函数的调用次数等是否符合预期。
4. 单元测试方法命名
早期必须在单元测试函数命名前加入 ‘test’ 前缀。现在已经不推荐这么使用,一般采用驼峰。
也会有很多人会将太多描述放到测试函数命名中,这也不太推荐,此种情况应该放到函数的注释中。
推荐的命名格式如:shouldReturnItemNameInUpperCase()。
5. 单元测试举例
数据访问层测试,只不过是将正常的环境加入了回滚或者采用内存 / 内嵌数据库,难度不大,这里就不给出具体范例。本文将重点讲述工具类的测试和服务层的测试。
5.1 工具类的测试
学习工具类的单元测试,强烈推荐大家参考 guava、commons-lang3、 commons-collection4 这三个知名开源工具类项目的源码的单元测试代码。
如 commons-lang3 包的 StringUtils#contains 源码:
// Contains
//-----------------------------------------------------------------------
/**
* <p>Checks if CharSequence contains a search character, handling {@code null}.
* This method uses {@link String#indexOf(int)} if possible.</p>
*
* <p>A {@code null} or empty ("") CharSequence will return {@code false}.</p>
*
* <pre>
* StringUtils.contains(null, *) = false
* StringUtils.contains("", *) = false
* StringUtils.contains("abc", 'a') = true
* StringUtils.contains("abc", 'z') = false
* </pre>
*
* @param seq the CharSequence to check, may be null
* @param searchChar the character to find
* @return true if the CharSequence contains the search character,
* false if not or {@code null} string input
* @since 2.0
* @since 3.0 Changed signature from contains(String, int) to contains(CharSequence, int)
*/
public static boolean contains(final CharSequence seq, final int searchChar) {
if (isEmpty(seq)) {
return false;
}
return CharSequenceUtils.indexOf(seq, searchChar, 0) >= 0;
}
对应的单元测试代码如下:
@Test
public void testContains_Char() {
// 不符合条件的特殊用例
assertFalse(StringUtils.contains(null, ' '));
assertFalse(StringUtils.contains("", ' '));
assertFalse(StringUtils.contains("", null));
assertFalse(StringUtils.contains(null, null));
// 符合条件的用例
assertTrue(StringUtils.contains("abc", 'a'));
assertTrue(StringUtils.contains("abc", 'b'));
assertTrue(StringUtils.contains("abc", 'c'));
// 不符合条件的正常用例
assertFalse(StringUtils.contains("abc", 'z'));
}
我们可看到,测试时除了选择符合条件的用例外,还要选择不符合条件的用例。其中不符合条件的用例可以还包括常规的用例和特殊用例(边界条件)。
再如 guava 的 StopWatch#stop :
/**
* Stops the stopwatch. Future reads will return the fixed duration that had elapsed up to this
* point.
*
* @return this {@code Stopwatch} instance
* @throws IllegalStateException if the stopwatch is already stopped.
*/
@CanIgnoreReturnValue
public Stopwatch stop() {
long tick = ticker.read();
checkState(isRunning, "This stopwatch is already stopped.");
isRunning = false;
elapsedNanos += tick - startTick;
return this;
}
根据源码我们可知,调用该函数后・isRunning 会被设置为 false,如果重复调用会抛出 IllegalStateException,
因此,我们要测试已经停止后再次调用停止函数会的效果。
验证调用该函数后 isRunning 的确会被设置为 false,如果重复调用会抛出 IllegalStateException,因此该函数的单元测试源码如下(注意该测试函数命名):
public void testStop_alreadyStopped() {
stopwatch.start();
stopwatch.stop();
try {
stopwatch.stop();
fail();
} catch (IllegalStateException expected) {
}
assertFalse(stopwatch.isRunning());
}
5.2 服务层的测试
服务层的测试一般将底层的所有依赖都 mock 掉,最常用的框架为 Mockito、JMockit、 Easy Mock。
本小节的示例采用的是 Mockito。
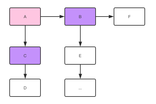
核心场景如 :A 类的某函数依赖 B 类的某函数和 C 类的某函数,而 B 类又依赖 E 类和 F 类,C 类又依赖 D 类,等等。

如果要测试 A 类的某个函数,则需要 mock B 类 和 C 类的对象。测试者可以指定 B 的某个函数接受某个参数返回固定的结果,指定 C 接受特定参数,返回特定结果,然后调用 A 的对应函数,验证 A 的返回值是否符合期待。

注:为了简化,此处并没有采用标准的类图方式作图。
此时有些朋友可能会有一个疑问,为什么不 mock D 、E 和 F 等其它类呢?
其实这就是本专栏特别强调学习时要重视 “是什么” 的原因。单元测试从思想上来讲就是 “控制变量法”,即将依赖变为 “常量”,只有待测试的函数参数是 “变量”,通过输入参数推测出结果,和实际的结果去对比,才可以更好地验证其正确性。
因此,我们只需要把它的直接依赖变成 “常量” 即可,其它的依赖 mock 没有意义。
另外,大家一定要注意单元测试和集成测试的区别,不要将单元测试和集成测试混在一起。
下面给出一个简单示例:
待测试的服务接口:
public interface ItemService {
String getItemNameUpperCase(String itemId);
}
待测试的服务的实现类:
@Service
public class ItemServiceImpl implements ItemService {
@Resource
private ItemRepository itemRepository;
@Override
public String getItemNameUpperCase(String itemId) {
Item item = itemRepository.findById(itemId);
if (item == null) {
return null;
}
return item.getName().toUpperCase();
}
}
可见该服务依赖数据访问组件 ItemRepository。
根据前面的单元测试的结构和命名建议,我们对该函数编写单元测试代码:
import org.junit.Before;
import org.junit.Test;
import org.mockito.InjectMocks;
import org.mockito.Mock;
import org.mockito.MockitoAnnotations;
import static org.assertj.core.api.Assertions.assertThat;
import static org.mockito.Mockito.*;
public class ItemServiceTest {
@Mock
private ItemRepository itemRepository;
@InjectMocks
private ItemServiceImpl itemService;
@Before
public void setUp(){
MockitoAnnotations.initMocks(this);
}
/**
* 如果从存储层查询到一个Item, 那么它的 name 将被转化为大写.
*/
@Test
public void shouldReturnItemNameInUpperCase() {
// Given
Item mockedItem = new Item("it1", "Item 1", "This is item 1", 2000, true);
when(itemRepository.findById("it1")).thenReturn(mockedItem);
// When
String result = itemService.getItemNameUpperCase("it1");
// Then
verify(itemRepository, times(1)).findById("it1");
assertThat(result).isEqualTo("ITEM 1");
}
}
测试函数采用驼峰命名并且体现出了该测试函数的核心含义。
可以看出在准备阶段,构造测试对象(数据)并 mock 掉底层依赖;在执行阶段直接调用待测试的函数;在验证阶段 对结果进行断言。
5. 总结
本节主要给出单元测试在实际编程中的运用,给出了单元测试的结构、命名建议以及使用范例。希望大家在实际编程中能够举一反三,灵活运用,通过单元测试提高编码的质量。
下一节将给出 Java 学习宝典。
6. 课后作业
- 拉取 PowerMock 的源码,通过源码的单元测试来学习如何 mock 私有函数;
- 使用 easy-random 代替 shouldReturnItemNameInUpperCase () 函数构造测试数据部分的代码。